أساسيات تقنية الرادار
أساسيات تقنية الرادار
معنى كلمة رادار RADAR
هي اختصار لـ Radio Detection And Ranging اي (الكشف عن الراديو وتحديد المدى)
اذا واجهت في بعض الأحيان انعكاس الصوت ( الصدى ) بسبب وجود جسم عاكس للصوت مثل الوادي/الكهف، وما إلى ذلك
فقد واجهت بطريقة ما كيفية عمل الرادار
عندما تصرخ بالقرب باتجاه وادٍ أو جبل، فإن انعكاس الصوت، أي يعود الصدى يمكن استخدام الوقت الذي يحتاجه الصدى للعودة
لتقدير مسافة الجسم العاكس بشرط معرفة سرعة الصوت في الهواء.
يعمل الرادار بطريقة مماثلة لمعرفة موقع الجسم المنعكس باستخدام موجات التردد اللاسلكي.
(إذنْ) الرادار تستخدم للكشف عن وجود الجسم وتحديد مداه، أي: المسافة والتحمل باستخدام موجات التردد الراديوي.
يتم استخدام الرادارات لقياس المعلمات المختلفة
1. المدى باستخدام تأخير النبض
2. السرعة من تحول تردد دوبلر
3. الاتجاه الزاوي باستخدام توجيه الهوائي
4. حجم الهدف من حجم الطاقة المنعكسة
5. شكل الهدف تحليل الإشارة المنعكسة كدالة للاتجاه
6. الأجزاء المتحركة تحليل تعديل الإشارة المنعكس
المبدأ الأساسي للرادار
يرجع المبدأ الأساسي الذي يحكم وظيفة الرادار إلى خصائص الطاقة الكهرومغناطيسية المشعة.
1- تنتقل الطاقة الكهرومغناطيسية عبر الفضاء في خط مستقيم وبسرعة ثابتة (تقريباً سرعة الضوء).
ويختلف انتشار هذه الموجات قليلاً بسبب التأثيرات الجوية.
2- عندما تصطدم الموجات الكهرومغناطيسية بسطح موصل للكهرباء، ينعكس جزء من الطاقة باتجاه المصدر
ويشع باقي الطاقة المنعكسة في اتجاهات مختلفة.
3- يعتبر استقبال الطاقة المنعكسة نحو المصدر مؤشراً على وجود عائق في اتجاه الانتشار.
تُستخدم هذه المبادئ الأساسية في الرادار لتحديد المسافة واتجاه الهدف، أي الجسم العاكس.
يظهر الرسم التخطيطي للرادار الأساسي أدناه:
تعتمد تكلفة وتعقيد الرادار على عدد الوظائف التي يؤديها
تُستخدم الرادارات في تطبيقات مختلفة مثل المراقبة والتصوير والاستشعار عن بعد وقياس الارتفاع وما إلى ذلك.
و هناك عدة أنواع من الرادارات العسكرية، وفيما يلي سنستعرض بعضها:
رادار الاستطلاع والرصد (Surveillance Radar)
يستخدم للكشف والتعرف على الأهداف في مناطق واسعة ومراقبتها بشكل مستمر. يستخدم غالبًا في الدفاع الجوي ومراقبة الحدود البرية والبحرية.
رادار التتبع والتحكم (Tracking and Control Radar)
يُستخدم لتتبع وتوجيه الأهداف المحددة والتحكم في أنظمة الأسلحة الدفاعية مثل صواريخ الدفاع الجوي.
رادار الانذار المبكر والتحذير (Early Warning Radar)
يستخدم لاكتشاف الأهداف المحتملة في وقت مبكر وتحذير القوات العسكرية من هجمات محتملة. يستخدم غالبًا في الدفاع الجوي والدفاع الصاروخي.
رادار التصويب والتحديد (Targeting and Acquisition Radar)
يستخدم لتحديد الهدف وتصويب الأسلحة بدقة عالية. يستخدم عادة في منظومات الصواريخ والمدفعية.
رادار التشويش والتعتيم (Jamming and Stealth Radar)
يستخدم للتشويش على رادارات العدو وتقليل تواجد الرادار الخاص به للحد من اكتشافه.
رادار متعدد الوظائف (Multifunction Radar)
هو نوع من الرادارات العسكرية التي تجمع بين مجموعة متنوعة من الوظائف في جهاز واحد.
يستطيع هذا النوع من الرادارات تنفيذ مهام متعددة مثل الكشف والتتبع والتصويب والتحديد والتحكم في النار والربط التكتيكي.
يعزز القدرة العسكرية على تنفيذ العمليات بكفاءة عالية ويستخدم في مجالات مثل الدفاع الجوي والقوات البحرية والدفاع الصاروخي.
هذه هي بعض الأنواع الرئيسية للرادارات العسكرية.
الارسال
يُنتج مرسل الرادار إشارة موجات صغرية، والتي عادةً ما تكون عبارة عن نبضات طاقة عالية الطاقة قصيرة المدة للرادار النبضي.
دوبلكس
تعمل وحدة الطباعة على الوجهين كمفتاح؛ يقوم بتبديل الهوائي بين جهاز الإرسال والاستقبال
وهذا يلغي الحاجة إلى هوائيات إرسال واستقبال منفصلة. تمنع وحدة الطباعة على الوجهين دخول طاقة عالية الطاقة إلى جهاز الاستقبال
(قد تؤدي النبضات عالية الطاقة إلى إتلاف جهاز الاستقبال) أثناء الإرسال وتمنع تغذية الإشارة المنعكسة إلى جهاز الإرسال أثناء الاستقبال.
الهوائي
يقوم هوائي الإرسال بإشعاع طاقة الإرسال إلى إشارات في الفضاء، في الاتجاهات المطلوبة.
تنتشر الطاقة المشعة بسرعة ثابتة. وعندما تجد الهدف، تتشتت الطاقة، وينعكس جزء منها باتجاه هوائي الإرسال. يستقبل الهوائي الطاقة المنعكسة ويغذيها إلى وحدة الطباعة على الوجهين. تقوم وحدة الطباعة على الوجهين بتوجيه هذه الطاقة نحو جهاز الاستقبال.
المتلقي
يقوم جهاز الاستقبال بإزالة تشكيل الطاقة المنعكسة المستقبلة وتحليل الإشارة للعثور على المعلمات المستهدفة.
عرض
يرسل جهاز الاستقبال الإخراج للعرض، والذي يظهر الإشارة التي تم تحليلها بطريقة سهلة الاستخدام وسهلة الفهم.
المفاهيم الأساسية للرادار
نطاق التأخير الزمني
النطاق المستهدف هو المعلمة الأساسية التي يتم قياسها بواسطة الرادارات. ويتم حسابه باستخدام حساب زمن الرحلة ذهابًا وإيابًا للنبض وسرعة الضوء.
بالنسبة للرادارات الثنائية (يوجد هوائي الإرسال والاستقبال في مواقع مختلفة)،
Rt + Rr = c Tr
بالنسبة للرادارات الأحادية
(يتم تجميع هوائي الإرسال والاستقبال، R t = R r )،
R = c Tr /2,
أين،
R t هي مسافة الهدف من جهاز الإرسال،
R r هي مسافة الهدف من جهاز الاستقبال،
C هي سرعة الضوء
T r هو وقت الرحلة ذهابًا وإيابًا.
الشكل 3: رسم تخطيطي يوضح حساب النطاق المائل
يُسمى النطاق R، المحسوب على هذا النحو، بالنطاق المائل.
تم الإبلاغ عن طائرتين على نفس المسافة ولكنهما تحلقان على ارتفاعات مختلفة على مسافة مختلفة على شاشة الرادار. وذلك لأن الرادارات تشير إلى مدى مائل، وليس مسافة أفقية.
الشكل 4:
رسم تخطيطي يوضح مسافات مختلفة لطائرتين على شاشة الرادار
تردد تكرار النبض
تشع أنظمة الرادار نبضة أثناء وقت الإرسال (عرض النبضة t )، وتنتظر عودة الصدى أثناء فترة الاستماع ثم ترسل النبضة مرة أخرى.
يحافظ المزامن على تزامن التوقيت بين الدوائر المرتبطة.
يُطلق على الوقت بين بداية نبضة واحدة وبداية النبضة التالية اسم وقت تكرار النبض (PRT) ويسمى التبادل لـ PRT
تردد تكرار النبض (PRF)؛ PRF لنظام الرادار هو عدد النبضات المرسلة في الثانية. يعد اختيار PRF أمرًا بالغ الأهمية لأنه يؤثر على المدى الأقصى للرادار.
الشكل 5: شكل يمثل زمن تكرار النبض
الحد الأقصى لنطاق لا لبس فيه
ونظراً لوجود أهداف قوية، يتم استقبال صدى النبضة المشعة الأولى بعد إرسال النبضة. يتعامل الرادار معه على أنه صدى من النبضة الثانية، وبالتالي يبلغ عن نطاق خاطئ. وهذا ما يسمى غموض النطاق.
يتم إعطاء الحد الأقصى للنطاق الذي لا لبس فيه بواسطة
كما ذكرنا سابقًا، فإن اختيار PRT يحدد الحد الأقصى للنطاق الذي لا لبس فيه.
الشكل 6:
شكل يمثل معادلة النطاق الأقصى الذي لا لبس فيه
الحد الأدنى لنطاق الكشف
عندما تقع الحافة الأمامية لنبضة الصدى داخل نبضة الإرسال، لا يكون من الممكن حساب زمن الرحلة ذهاباً وإياباً ومن ثم حساب المدى. أثناء إرسال النبضة، يتم إيقاف الاستقبال حيث يتم توصيل وحدة الطباعة على الوجهين بجهاز الإرسال فقط. ومن ثم، يتم تحديد الحد الأدنى لنطاق Rmin القابل للاكتشاف بواسطة
الشكل 7: شكل يمثل معادلة النطاق الأقصى الذي لا لبس فيه
حيث trec هو وقت استرداد وحدة الطباعة على الوجهين.
يحدد Rmin النطاق الأعمى؛ لم يتم اكتشاف الأهداف القريبة.
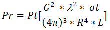
معادلة المدى الأقصى النظرية
تعبر معادلة المدى عن العلاقة بين المعلمات المختلفة لنظام الرادار التي تؤثر على قدرة الإشارة المستقبلة وبالتالي المدى.
يتم إعطاء القوة المستقبلة المنعكسة بواسطة
الشكل 8: شكل يوضح معادلة المدى الأقصى النظري
حيث Pr = عادت الطاقة إلى الهدف. وينبغي أن تكون هذه القدرة أكبر من الحد الأدنى للإشارة القابلة للاكتشاف لجهاز الاستقبال.
حزب العمال = الطاقة المنقولة. ترتبط الطاقة التي يتم إرجاعها ارتباطًا مباشرًا بهذه القوة.
G = كسب الهوائي؛ إنه مقياس لقدرة تركيز الطاقة في شعاع موجه.
ل = الطول الموجي للإشارة. يؤثر على فتحة الهوائي؛ يمكن تصور فتحة الهوائي كدائرة عادية للإشعاع الساقط حيث تمر جميع الإشعاعات الواردة من خلالها. أعلى هو تردد التشغيل، وأصغر هو الهوائي.
s t = المقطع العرضي الراداري (RCS). يتم تحديد قدرة الهدف على عكس الطاقة المشعة من خلال مصطلح منطقة المقطع العرضي للرادار. يعتمد ذلك على عدد من المعلمات مثل حجم الهدف وشكله، وتكرار التشغيل، ومادة السطح العاكس، وما إلى ذلك.
R = المدى المائل. يتأثر النطاق الذي تم الحصول عليه بفقدان مسار المساحة الحرة. فقدان المسار في الفضاء الحر هو توهين الطاقة الكهرومغناطيسية المشعة في الفضاء الحر دون وجود عوائق بين المصدر والمستقبل. إن فقدان الطاقة هو مجرد دالة لمربع المسافة.
L = عامل الخسارة. وبصرف النظر عن خسارة المسير في الفضاء الحر، تؤثر ظواهر أخرى مختلفة (تأثيرات المسيرات المتعددة، والتوهين الناجم عن الهطول، والغازات الجوية، وما إلى ذلك) على القدرة المستقبلة عند المستقبل. كل هذا يجب أن يؤخذ بعين الاعتبار عند حساب مدى الرادار.
من هذه المعادلة، يمكن التعبير عن أقصى مدى للرادار بـ:
الشكل 9: شكل يوضح معادلة المدى الأقصى للرادار
لاحظ أنه لزيادة النطاق بمقدار الضعف، يجب مضاعفة طاقة جهاز الإرسال أربع مرات.
يُطلق على Pr (min.) اسم الحد الأدنى للإشارة القابلة للتمييز (MDS) وقيمتها النموذجية تقترب من -110 ديسيبل ميلي واط بالنسبة لأجهزة الاستقبال الجيدة.
تحمل القياسات.
يتم تحديد الاتجاه (زوايا السمت والارتفاع) للهدف عن طريق قياس الاتجاه الذي يشير إليه الهوائي عند استقبال الصدى. زاوية السمت هي الزاوية بين المستوى الرأسي الذي يحتوي على الهدف والاتجاه المرجعي، ويتم قياسها في المستوى الأفقي. زاوية الارتفاع هي الزاوية بين المستوى الأفقي وخط البصر، وتقاس في المستوى الرأسي.
الشكل 10: شكل يوضح دقة زاوية السمت وزاوية الارتفاع المقاسة في المستوى الأفقي
يتم تحديد دقة القياس الزاوي من خلال اتجاهية الهوائي.
قرارات الرادار
القدرة على التمييز بين الأهداف القريبة تسمى دقة الهدف للرادار. يتم تعريفه في كل من النطاق والمحمل.
دقة المدى هي القدرة على التمييز بين هدفين على نفس الاتجاه ولكن في نطاقات مختلفة. يعتمد ذلك على عرض النبضة المرسلة ومعلمات الهدف وما إلى ذلك؛ عرض النبض هو العامل الرئيسي. يتم إعطاء دقة المدى النظري للرادار بواسطة
الشكل 11: رسم تخطيطي يمثل معادلة دقة المدى النظري
الدقة الزاويّة (المحملة) هي الحد الأدنى للفصل الزاوي الذي يمكن من خلاله فصل هدفين متشابهين في نفس النطاق. ويتم تحديده من خلال عرض شعاع الهوائي بمقدار -3 ديسيبل. يتم حل هدفين متطابقين من حيث الزاوية إذا كانا مفصولين بأكثر من عرض حزمة الهوائي.
يتم إعطاء القرار الزاوي بالصيغة التالية:
الشكل 12: رسم تخطيطي يمثل معادلة الدقة الزاوية
حيث q هو عرض حزمة الهوائي وR هو المدى المائل.
كشف العتبة
تتم إزالة تشكيل الإشارة المستقبلة ومعالجتها بواسطة منطق العتبة. إذا كانت الإشارة المستقبلة أكبر من العتبة المحددة، يتم الإعلان عن وجود الهدف. وبما أن الإشارة المستقبلة تتأثر بالضوضاء الحرارية والفوضى والتداخلات المختلفة، فإن احتمالية الكشف تتأثر.
تظهر الإشارة المستلمة النموذجية في الرسم البياني التالي.
الشكل 13: شكل يوضح إزالة التشكيل ومعالجة الإشارة المستقبلة بواسطة منطق العتبة
نظرًا لأن قوة الإشارة المستقبلة تزداد بسبب الضوضاء الحرارية عند النقطة "A"، فإنها تسبب إنذارًا كاذبًا (الإعلان عن هدف غير موجود). على الجانب الآخر، انخفضت قوة الإشارة المستقبلة عند النقطة "B" التي تؤدي إلى الخطأ (لا يتم الإعلان عن الهدف حتى عندما يكون موجودًا).
إزاحة دوبلر
صدى إشارة الرادار المرسلة نحو هدف متحرك سوف يتغير تردده ويرتبط التحول في التردد بسرعة الهدف المتحرك. يحدث هذا بسبب تأثير دوبلر. لن يحدث إزاحة دوبلر إلا عندما يكون لمتجه السرعة النسبية مكون شعاعي.
الشكل 14: صورة تمثل معادلة إزاحة دوبلر
عندما يتناقص المدى المائل R، أي أن الهدف يقترب، فإن إزاحة دوبلر ستزداد وعندما يزداد R، يتناقص إزاحة دوبلر. يتم استخدام الظواهر لقياس سرعة الهدف. ولهذا الغرض، يتم استخدام مجموعة مرشحات دوبلر، أي أن نطاق تشغيل الرادار مقسم إلى نطاقات فرعية ضيقة جدًا وغير متداخلة ويتم استخدام الطاقة الخارجة من كل مرشح لتقدير السرعة.
الفوضى والتدخل
أحد العوامل المزعجة التي يمكن أن تقلل من أداء رادار البحث هو الفوضى. الفوضى ليست شيئًا، ولكنها صدى من أهداف ثابتة أو بطيئة الحركة. الفوضى تجعل الكشف أكثر صعوبة. من الصعب رؤية طائرة تحلق على ارتفاعات منخفضة في مواجهة الأصداء العائدة من التضاريس. يتأثر اكتشاف هدف صغير على سطح الأرض أو البحر بشدة بأصداء الفوضى غير المرغوب فيها.
الشكل 15: صورة تمثل تأثير الفوضى والتداخل في الرادار
العامل الآخر الذي يساهم في التداخل هو تأثير المسارات المتعددة.
يخضع أداء نظام الرادار لعوامل مختلفة
1- حساسية جهاز الاستقبال ونسبة الإشارة إلى الضوضاء:
تحدد نسبة الإشارة إلى الضوضاء القدرة على التعرف على الأهداف في ظل وجود ضوضاء عشوائية (والتي تكون موجودة دائمًا). تحدد الضوضاء الحد الأدنى لحساسية جهاز الاستقبال. كلما كان جهاز استقبال الإشارة أصغر حجمًا، كان من الممكن معالجة نطاق قياس الرادار بشكل أفضل. تعمل نسبة الإشارة إلى الضوضاء الجيدة على تقليل الإنذارات الكاذبة وإخفاق الهدف وتعزيز احتمالية اكتشافها.
2- عرض النطاق الترددي المتلقي:
عرض النطاق الترددي لجهاز الاستقبال هو في الأساس الترددات التي يمكن لجهاز الاستقبال معالجتها. يؤدي تقليل عرض النطاق الترددي إلى زيادة نسبة الإشارة إلى الضوضاء (S/N) ولكنه يشوه النبضة المرسلة ويقلل من احتمالية الكشف.
· ااغغ
معدل المسح هو سرعة دوران الهوائي (أو الشعاع). فهو يحدد مدة المكوث على الهدف. تقوم رادارات PRF العالية بالمسح بسرعة أكبر؛ تقوم رادارات PRF المنخفضة بالمسح ببطء نسبيًا.
· قوة
نسبة الطاقة المشعة إلى PRT هي متوسط الطاقة. كلما زادت الطاقة المشعة، زاد المدى، لكن متوسط الطاقة الأصغر يتيح استخدام مكونات رادارية أصغر.
· تردد التشغيل
يتم تحديد اختيار التردد من خلال نوافذ الإرسال الجوي ووظيفة الرادار. يحدد التردد الحجم الأمثل للهوائي، ومراحل إدخال جهاز الاستقبال، ومستويات الطاقة، وما إلى ذلك.
المعلمات الأخرى التي تؤثر على أداء الرادار هي تردد تكرار النبضة، المقطع العرضي الراداري للهدف، كسب الهوائي، تردد التشغيل وفتحة الهوائي، والتي تمت مناقشتها سابقًا.
تستخدم شاشات الرادار الحالية تقنيات المعالجة الرقمية لعرض المعلومات بتنسيق يشبه التلفزيون باستخدام المسح النقطي. وباستخدام هذه التقنيات، يتم إنشاء شاشات عرض متعددة الوظائف واستخدامها في أنظمة الرادار الحديثة.
استخدمت الرادارات السابقة أنواعًا مختلفة من شاشات العرض، تعتمد بشكل أساسي على CRT.
1. أ- العرض
أ- يعرض العرض الطاقة المستقبلة مقابل النطاق على راسم الذبذبات.
يتم استخدام مولد جهد سن المنشار على المحور السيني ويقوم بتحريك نقطة راسم الذبذبات عبر الشاشة بمعدل محدد. تتزامن بداية "المسح" مع بداية "النبض المرسل" ويتم ضبط سرعة حركة نقطة راسم الذبذبات بناءً على الحد الأقصى لوقت عودة الصدى. يتم رسم الصدى المنعكس على المحور Y.
الشكل 16: شكل يعرض الشاشة "A" ونطاقها على راسم الذبذبات
وبما أن المحور السيني يعكس الوقت، فيمكن تحديد نطاق الهدف باستخدام مبدأ زمن الرحلة.
2. ب- العرض
ب- تعرض الشاشة النطاق (على المحور Y) مقابل زاوية السمت (على المحور X) على راسم الذبذبات.
يتم استخدام مولد جهد سن المنشار على المحور Y ويقوم بتحريك نقطة راسم الذبذبات عبر الشاشة بمعدل محدد. اعتمادا على زاوية السمت للهوائي، يتم تغذية إشارة الجهد التناسبي على المحور السيني.
النطاق H هو نوع مختلف من النطاق B؛ فهو يرسم زاوية الارتفاع مقابل النطاق.
الشكل 17: شكل يعرض العرض "B" مقابل زاوية السمت على راسم الذبذبات
3. شاشة C
تعرض شاشة C زاوية الارتفاع (على المحور Y) مقابل زاوية السمت (على المحور X) على راسم الذبذبات.
الشكل 18:
شكل يوضح "C" يعرض زاوية الارتفاع مقابل زاوية السمت على راسم الذبذبات
4. مؤشر موقف الخطة
إنها واحدة من شاشات العرض المستخدمة على نطاق واسع. المسافة من المركز تشير إلى النطاق، والزاوية حول الشاشة تمثل زاوية السمت للهدف.
الشكل 19: رسم تخطيطي تمثيلي لمؤشر موضع الخطة
نطاقات التردد الرادارية
يخضع تردد تشغيل الرادارات للتطبيقات، وبالتالي تعمل أنواع مختلفة من الرادارات في نطاقات تردد مختلفة.
بشكل عام، يمكن تلخيص نطاقات تردد الرادار على النحو التالي
أساسيات تقنية الرادار
- تحديد المدى/المسافة
- تحديد الإتجاه
- أقصى مدى بدون لَبس
- أقل مدى
- زاوية الإرتفاع
- القدرة على الفصل بين الأهداف
- الدقة
معنى كلمة رادار RADAR
هي اختصار لـ Radio Detection And Ranging اي (الكشف عن الراديو وتحديد المدى)
اذا واجهت في بعض الأحيان انعكاس الصوت ( الصدى ) بسبب وجود جسم عاكس للصوت مثل الوادي/الكهف، وما إلى ذلك
فقد واجهت بطريقة ما كيفية عمل الرادار
عندما تصرخ بالقرب باتجاه وادٍ أو جبل، فإن انعكاس الصوت، أي يعود الصدى يمكن استخدام الوقت الذي يحتاجه الصدى للعودة
لتقدير مسافة الجسم العاكس بشرط معرفة سرعة الصوت في الهواء.
يعمل الرادار بطريقة مماثلة لمعرفة موقع الجسم المنعكس باستخدام موجات التردد اللاسلكي.
(إذنْ) الرادار تستخدم للكشف عن وجود الجسم وتحديد مداه، أي: المسافة والتحمل باستخدام موجات التردد الراديوي.
يتم استخدام الرادارات لقياس المعلمات المختلفة
1. المدى باستخدام تأخير النبض
2. السرعة من تحول تردد دوبلر
3. الاتجاه الزاوي باستخدام توجيه الهوائي
4. حجم الهدف من حجم الطاقة المنعكسة
5. شكل الهدف تحليل الإشارة المنعكسة كدالة للاتجاه
6. الأجزاء المتحركة تحليل تعديل الإشارة المنعكس
المبدأ الأساسي للرادار
يرجع المبدأ الأساسي الذي يحكم وظيفة الرادار إلى خصائص الطاقة الكهرومغناطيسية المشعة.
1- تنتقل الطاقة الكهرومغناطيسية عبر الفضاء في خط مستقيم وبسرعة ثابتة (تقريباً سرعة الضوء).
ويختلف انتشار هذه الموجات قليلاً بسبب التأثيرات الجوية.
2- عندما تصطدم الموجات الكهرومغناطيسية بسطح موصل للكهرباء، ينعكس جزء من الطاقة باتجاه المصدر
ويشع باقي الطاقة المنعكسة في اتجاهات مختلفة.
3- يعتبر استقبال الطاقة المنعكسة نحو المصدر مؤشراً على وجود عائق في اتجاه الانتشار.
تُستخدم هذه المبادئ الأساسية في الرادار لتحديد المسافة واتجاه الهدف، أي الجسم العاكس.
يظهر الرسم التخطيطي للرادار الأساسي أدناه:
تعتمد تكلفة وتعقيد الرادار على عدد الوظائف التي يؤديها
تُستخدم الرادارات في تطبيقات مختلفة مثل المراقبة والتصوير والاستشعار عن بعد وقياس الارتفاع وما إلى ذلك.
و هناك عدة أنواع من الرادارات العسكرية، وفيما يلي سنستعرض بعضها:
رادار الاستطلاع والرصد (Surveillance Radar)
يستخدم للكشف والتعرف على الأهداف في مناطق واسعة ومراقبتها بشكل مستمر. يستخدم غالبًا في الدفاع الجوي ومراقبة الحدود البرية والبحرية.
رادار التتبع والتحكم (Tracking and Control Radar)
يُستخدم لتتبع وتوجيه الأهداف المحددة والتحكم في أنظمة الأسلحة الدفاعية مثل صواريخ الدفاع الجوي.
رادار الانذار المبكر والتحذير (Early Warning Radar)
يستخدم لاكتشاف الأهداف المحتملة في وقت مبكر وتحذير القوات العسكرية من هجمات محتملة. يستخدم غالبًا في الدفاع الجوي والدفاع الصاروخي.
رادار التصويب والتحديد (Targeting and Acquisition Radar)
يستخدم لتحديد الهدف وتصويب الأسلحة بدقة عالية. يستخدم عادة في منظومات الصواريخ والمدفعية.
رادار التشويش والتعتيم (Jamming and Stealth Radar)
يستخدم للتشويش على رادارات العدو وتقليل تواجد الرادار الخاص به للحد من اكتشافه.
رادار متعدد الوظائف (Multifunction Radar)
هو نوع من الرادارات العسكرية التي تجمع بين مجموعة متنوعة من الوظائف في جهاز واحد.
يستطيع هذا النوع من الرادارات تنفيذ مهام متعددة مثل الكشف والتتبع والتصويب والتحديد والتحكم في النار والربط التكتيكي.
يعزز القدرة العسكرية على تنفيذ العمليات بكفاءة عالية ويستخدم في مجالات مثل الدفاع الجوي والقوات البحرية والدفاع الصاروخي.
هذه هي بعض الأنواع الرئيسية للرادارات العسكرية.
الارسال
يُنتج مرسل الرادار إشارة موجات صغرية، والتي عادةً ما تكون عبارة عن نبضات طاقة عالية الطاقة قصيرة المدة للرادار النبضي.
دوبلكس
تعمل وحدة الطباعة على الوجهين كمفتاح؛ يقوم بتبديل الهوائي بين جهاز الإرسال والاستقبال
وهذا يلغي الحاجة إلى هوائيات إرسال واستقبال منفصلة. تمنع وحدة الطباعة على الوجهين دخول طاقة عالية الطاقة إلى جهاز الاستقبال
(قد تؤدي النبضات عالية الطاقة إلى إتلاف جهاز الاستقبال) أثناء الإرسال وتمنع تغذية الإشارة المنعكسة إلى جهاز الإرسال أثناء الاستقبال.
الهوائي
يقوم هوائي الإرسال بإشعاع طاقة الإرسال إلى إشارات في الفضاء، في الاتجاهات المطلوبة.
تنتشر الطاقة المشعة بسرعة ثابتة. وعندما تجد الهدف، تتشتت الطاقة، وينعكس جزء منها باتجاه هوائي الإرسال. يستقبل الهوائي الطاقة المنعكسة ويغذيها إلى وحدة الطباعة على الوجهين. تقوم وحدة الطباعة على الوجهين بتوجيه هذه الطاقة نحو جهاز الاستقبال.
المتلقي
يقوم جهاز الاستقبال بإزالة تشكيل الطاقة المنعكسة المستقبلة وتحليل الإشارة للعثور على المعلمات المستهدفة.
عرض
يرسل جهاز الاستقبال الإخراج للعرض، والذي يظهر الإشارة التي تم تحليلها بطريقة سهلة الاستخدام وسهلة الفهم.
مفاهيم أساسية
المفاهيم الأساسية للرادار
نطاق التأخير الزمني
النطاق المستهدف هو المعلمة الأساسية التي يتم قياسها بواسطة الرادارات. ويتم حسابه باستخدام حساب زمن الرحلة ذهابًا وإيابًا للنبض وسرعة الضوء.
بالنسبة للرادارات الثنائية (يوجد هوائي الإرسال والاستقبال في مواقع مختلفة)،
Rt + Rr = c Tr
بالنسبة للرادارات الأحادية
(يتم تجميع هوائي الإرسال والاستقبال، R t = R r )،
R = c Tr /2,
أين،
R t هي مسافة الهدف من جهاز الإرسال،
R r هي مسافة الهدف من جهاز الاستقبال،
C هي سرعة الضوء
T r هو وقت الرحلة ذهابًا وإيابًا.

الشكل 3: رسم تخطيطي يوضح حساب النطاق المائل
يُسمى النطاق R، المحسوب على هذا النحو، بالنطاق المائل.
تم الإبلاغ عن طائرتين على نفس المسافة ولكنهما تحلقان على ارتفاعات مختلفة على مسافة مختلفة على شاشة الرادار. وذلك لأن الرادارات تشير إلى مدى مائل، وليس مسافة أفقية.

الشكل 4:
رسم تخطيطي يوضح مسافات مختلفة لطائرتين على شاشة الرادار
تردد تكرار النبض
تشع أنظمة الرادار نبضة أثناء وقت الإرسال (عرض النبضة t )، وتنتظر عودة الصدى أثناء فترة الاستماع ثم ترسل النبضة مرة أخرى.
يحافظ المزامن على تزامن التوقيت بين الدوائر المرتبطة.
يُطلق على الوقت بين بداية نبضة واحدة وبداية النبضة التالية اسم وقت تكرار النبض (PRT) ويسمى التبادل لـ PRT
تردد تكرار النبض (PRF)؛ PRF لنظام الرادار هو عدد النبضات المرسلة في الثانية. يعد اختيار PRF أمرًا بالغ الأهمية لأنه يؤثر على المدى الأقصى للرادار.

الشكل 5: شكل يمثل زمن تكرار النبض
الحد الأقصى لنطاق لا لبس فيه
ونظراً لوجود أهداف قوية، يتم استقبال صدى النبضة المشعة الأولى بعد إرسال النبضة. يتعامل الرادار معه على أنه صدى من النبضة الثانية، وبالتالي يبلغ عن نطاق خاطئ. وهذا ما يسمى غموض النطاق.
يتم إعطاء الحد الأقصى للنطاق الذي لا لبس فيه بواسطة


الشكل 6:
شكل يمثل معادلة النطاق الأقصى الذي لا لبس فيه
الحد الأدنى لنطاق الكشف
عندما تقع الحافة الأمامية لنبضة الصدى داخل نبضة الإرسال، لا يكون من الممكن حساب زمن الرحلة ذهاباً وإياباً ومن ثم حساب المدى. أثناء إرسال النبضة، يتم إيقاف الاستقبال حيث يتم توصيل وحدة الطباعة على الوجهين بجهاز الإرسال فقط. ومن ثم، يتم تحديد الحد الأدنى لنطاق Rmin القابل للاكتشاف بواسطة

الشكل 7: شكل يمثل معادلة النطاق الأقصى الذي لا لبس فيه
حيث trec هو وقت استرداد وحدة الطباعة على الوجهين.
يحدد Rmin النطاق الأعمى؛ لم يتم اكتشاف الأهداف القريبة.
معادلة المدى الأقصى النظرية
تعبر معادلة المدى عن العلاقة بين المعلمات المختلفة لنظام الرادار التي تؤثر على قدرة الإشارة المستقبلة وبالتالي المدى.
يتم إعطاء القوة المستقبلة المنعكسة بواسطة

الشكل 8: شكل يوضح معادلة المدى الأقصى النظري
حيث Pr = عادت الطاقة إلى الهدف. وينبغي أن تكون هذه القدرة أكبر من الحد الأدنى للإشارة القابلة للاكتشاف لجهاز الاستقبال.
حزب العمال = الطاقة المنقولة. ترتبط الطاقة التي يتم إرجاعها ارتباطًا مباشرًا بهذه القوة.
G = كسب الهوائي؛ إنه مقياس لقدرة تركيز الطاقة في شعاع موجه.
ل = الطول الموجي للإشارة. يؤثر على فتحة الهوائي؛ يمكن تصور فتحة الهوائي كدائرة عادية للإشعاع الساقط حيث تمر جميع الإشعاعات الواردة من خلالها. أعلى هو تردد التشغيل، وأصغر هو الهوائي.
s t = المقطع العرضي الراداري (RCS). يتم تحديد قدرة الهدف على عكس الطاقة المشعة من خلال مصطلح منطقة المقطع العرضي للرادار. يعتمد ذلك على عدد من المعلمات مثل حجم الهدف وشكله، وتكرار التشغيل، ومادة السطح العاكس، وما إلى ذلك.
R = المدى المائل. يتأثر النطاق الذي تم الحصول عليه بفقدان مسار المساحة الحرة. فقدان المسار في الفضاء الحر هو توهين الطاقة الكهرومغناطيسية المشعة في الفضاء الحر دون وجود عوائق بين المصدر والمستقبل. إن فقدان الطاقة هو مجرد دالة لمربع المسافة.
L = عامل الخسارة. وبصرف النظر عن خسارة المسير في الفضاء الحر، تؤثر ظواهر أخرى مختلفة (تأثيرات المسيرات المتعددة، والتوهين الناجم عن الهطول، والغازات الجوية، وما إلى ذلك) على القدرة المستقبلة عند المستقبل. كل هذا يجب أن يؤخذ بعين الاعتبار عند حساب مدى الرادار.
من هذه المعادلة، يمكن التعبير عن أقصى مدى للرادار بـ:

الشكل 9: شكل يوضح معادلة المدى الأقصى للرادار
لاحظ أنه لزيادة النطاق بمقدار الضعف، يجب مضاعفة طاقة جهاز الإرسال أربع مرات.
يُطلق على Pr (min.) اسم الحد الأدنى للإشارة القابلة للتمييز (MDS) وقيمتها النموذجية تقترب من -110 ديسيبل ميلي واط بالنسبة لأجهزة الاستقبال الجيدة.
مفاهيم مستمرة..
تحمل القياسات.
يتم تحديد الاتجاه (زوايا السمت والارتفاع) للهدف عن طريق قياس الاتجاه الذي يشير إليه الهوائي عند استقبال الصدى. زاوية السمت هي الزاوية بين المستوى الرأسي الذي يحتوي على الهدف والاتجاه المرجعي، ويتم قياسها في المستوى الأفقي. زاوية الارتفاع هي الزاوية بين المستوى الأفقي وخط البصر، وتقاس في المستوى الرأسي.

الشكل 10: شكل يوضح دقة زاوية السمت وزاوية الارتفاع المقاسة في المستوى الأفقي
يتم تحديد دقة القياس الزاوي من خلال اتجاهية الهوائي.
قرارات الرادار
القدرة على التمييز بين الأهداف القريبة تسمى دقة الهدف للرادار. يتم تعريفه في كل من النطاق والمحمل.
دقة المدى هي القدرة على التمييز بين هدفين على نفس الاتجاه ولكن في نطاقات مختلفة. يعتمد ذلك على عرض النبضة المرسلة ومعلمات الهدف وما إلى ذلك؛ عرض النبض هو العامل الرئيسي. يتم إعطاء دقة المدى النظري للرادار بواسطة

الشكل 11: رسم تخطيطي يمثل معادلة دقة المدى النظري
الدقة الزاويّة (المحملة) هي الحد الأدنى للفصل الزاوي الذي يمكن من خلاله فصل هدفين متشابهين في نفس النطاق. ويتم تحديده من خلال عرض شعاع الهوائي بمقدار -3 ديسيبل. يتم حل هدفين متطابقين من حيث الزاوية إذا كانا مفصولين بأكثر من عرض حزمة الهوائي.
يتم إعطاء القرار الزاوي بالصيغة التالية:

الشكل 12: رسم تخطيطي يمثل معادلة الدقة الزاوية
حيث q هو عرض حزمة الهوائي وR هو المدى المائل.
كشف العتبة
تتم إزالة تشكيل الإشارة المستقبلة ومعالجتها بواسطة منطق العتبة. إذا كانت الإشارة المستقبلة أكبر من العتبة المحددة، يتم الإعلان عن وجود الهدف. وبما أن الإشارة المستقبلة تتأثر بالضوضاء الحرارية والفوضى والتداخلات المختلفة، فإن احتمالية الكشف تتأثر.
تظهر الإشارة المستلمة النموذجية في الرسم البياني التالي.

الشكل 13: شكل يوضح إزالة التشكيل ومعالجة الإشارة المستقبلة بواسطة منطق العتبة
نظرًا لأن قوة الإشارة المستقبلة تزداد بسبب الضوضاء الحرارية عند النقطة "A"، فإنها تسبب إنذارًا كاذبًا (الإعلان عن هدف غير موجود). على الجانب الآخر، انخفضت قوة الإشارة المستقبلة عند النقطة "B" التي تؤدي إلى الخطأ (لا يتم الإعلان عن الهدف حتى عندما يكون موجودًا).
إزاحة دوبلر
صدى إشارة الرادار المرسلة نحو هدف متحرك سوف يتغير تردده ويرتبط التحول في التردد بسرعة الهدف المتحرك. يحدث هذا بسبب تأثير دوبلر. لن يحدث إزاحة دوبلر إلا عندما يكون لمتجه السرعة النسبية مكون شعاعي.

الشكل 14: صورة تمثل معادلة إزاحة دوبلر
عندما يتناقص المدى المائل R، أي أن الهدف يقترب، فإن إزاحة دوبلر ستزداد وعندما يزداد R، يتناقص إزاحة دوبلر. يتم استخدام الظواهر لقياس سرعة الهدف. ولهذا الغرض، يتم استخدام مجموعة مرشحات دوبلر، أي أن نطاق تشغيل الرادار مقسم إلى نطاقات فرعية ضيقة جدًا وغير متداخلة ويتم استخدام الطاقة الخارجة من كل مرشح لتقدير السرعة.
الفوضى والتدخل
أحد العوامل المزعجة التي يمكن أن تقلل من أداء رادار البحث هو الفوضى. الفوضى ليست شيئًا، ولكنها صدى من أهداف ثابتة أو بطيئة الحركة. الفوضى تجعل الكشف أكثر صعوبة. من الصعب رؤية طائرة تحلق على ارتفاعات منخفضة في مواجهة الأصداء العائدة من التضاريس. يتأثر اكتشاف هدف صغير على سطح الأرض أو البحر بشدة بأصداء الفوضى غير المرغوب فيها.

الشكل 15: صورة تمثل تأثير الفوضى والتداخل في الرادار
العامل الآخر الذي يساهم في التداخل هو تأثير المسارات المتعددة.
أداء
أداء الراداريخضع أداء نظام الرادار لعوامل مختلفة
1- حساسية جهاز الاستقبال ونسبة الإشارة إلى الضوضاء:
تحدد نسبة الإشارة إلى الضوضاء القدرة على التعرف على الأهداف في ظل وجود ضوضاء عشوائية (والتي تكون موجودة دائمًا). تحدد الضوضاء الحد الأدنى لحساسية جهاز الاستقبال. كلما كان جهاز استقبال الإشارة أصغر حجمًا، كان من الممكن معالجة نطاق قياس الرادار بشكل أفضل. تعمل نسبة الإشارة إلى الضوضاء الجيدة على تقليل الإنذارات الكاذبة وإخفاق الهدف وتعزيز احتمالية اكتشافها.
2- عرض النطاق الترددي المتلقي:
عرض النطاق الترددي لجهاز الاستقبال هو في الأساس الترددات التي يمكن لجهاز الاستقبال معالجتها. يؤدي تقليل عرض النطاق الترددي إلى زيادة نسبة الإشارة إلى الضوضاء (S/N) ولكنه يشوه النبضة المرسلة ويقلل من احتمالية الكشف.
· ااغغ
معدل المسح هو سرعة دوران الهوائي (أو الشعاع). فهو يحدد مدة المكوث على الهدف. تقوم رادارات PRF العالية بالمسح بسرعة أكبر؛ تقوم رادارات PRF المنخفضة بالمسح ببطء نسبيًا.
· قوة
نسبة الطاقة المشعة إلى PRT هي متوسط الطاقة. كلما زادت الطاقة المشعة، زاد المدى، لكن متوسط الطاقة الأصغر يتيح استخدام مكونات رادارية أصغر.
· تردد التشغيل
يتم تحديد اختيار التردد من خلال نوافذ الإرسال الجوي ووظيفة الرادار. يحدد التردد الحجم الأمثل للهوائي، ومراحل إدخال جهاز الاستقبال، ومستويات الطاقة، وما إلى ذلك.
المعلمات الأخرى التي تؤثر على أداء الرادار هي تردد تكرار النبضة، المقطع العرضي الراداري للهدف، كسب الهوائي، تردد التشغيل وفتحة الهوائي، والتي تمت مناقشتها سابقًا.
يعرض
يعرض الرادارتستخدم شاشات الرادار الحالية تقنيات المعالجة الرقمية لعرض المعلومات بتنسيق يشبه التلفزيون باستخدام المسح النقطي. وباستخدام هذه التقنيات، يتم إنشاء شاشات عرض متعددة الوظائف واستخدامها في أنظمة الرادار الحديثة.
استخدمت الرادارات السابقة أنواعًا مختلفة من شاشات العرض، تعتمد بشكل أساسي على CRT.
1. أ- العرض
أ- يعرض العرض الطاقة المستقبلة مقابل النطاق على راسم الذبذبات.
يتم استخدام مولد جهد سن المنشار على المحور السيني ويقوم بتحريك نقطة راسم الذبذبات عبر الشاشة بمعدل محدد. تتزامن بداية "المسح" مع بداية "النبض المرسل" ويتم ضبط سرعة حركة نقطة راسم الذبذبات بناءً على الحد الأقصى لوقت عودة الصدى. يتم رسم الصدى المنعكس على المحور Y.

الشكل 16: شكل يعرض الشاشة "A" ونطاقها على راسم الذبذبات
وبما أن المحور السيني يعكس الوقت، فيمكن تحديد نطاق الهدف باستخدام مبدأ زمن الرحلة.
2. ب- العرض
ب- تعرض الشاشة النطاق (على المحور Y) مقابل زاوية السمت (على المحور X) على راسم الذبذبات.
يتم استخدام مولد جهد سن المنشار على المحور Y ويقوم بتحريك نقطة راسم الذبذبات عبر الشاشة بمعدل محدد. اعتمادا على زاوية السمت للهوائي، يتم تغذية إشارة الجهد التناسبي على المحور السيني.
النطاق H هو نوع مختلف من النطاق B؛ فهو يرسم زاوية الارتفاع مقابل النطاق.

الشكل 17: شكل يعرض العرض "B" مقابل زاوية السمت على راسم الذبذبات
3. شاشة C
تعرض شاشة C زاوية الارتفاع (على المحور Y) مقابل زاوية السمت (على المحور X) على راسم الذبذبات.

الشكل 18:
شكل يوضح "C" يعرض زاوية الارتفاع مقابل زاوية السمت على راسم الذبذبات
4. مؤشر موقف الخطة
إنها واحدة من شاشات العرض المستخدمة على نطاق واسع. المسافة من المركز تشير إلى النطاق، والزاوية حول الشاشة تمثل زاوية السمت للهدف.

الشكل 19: رسم تخطيطي تمثيلي لمؤشر موضع الخطة
نطاقات التردد
نطاقات التردد الرادارية
يخضع تردد تشغيل الرادارات للتطبيقات، وبالتالي تعمل أنواع مختلفة من الرادارات في نطاقات تردد مختلفة.
بشكل عام، يمكن تلخيص نطاقات تردد الرادار على النحو التالي