الله ينصرهم ويوفقهمإلى اليمن مشاهدة المرفق 827970
تذكرون مشاركتي في موضوع حضر موت قبل
اسبوع قلت لكم سوف ياتي يوم تهرب الضباع
الى جحورها اذا رات الاسود
وكان هناك من الاعضاء من تلك الدويله
يهايطون هههههههههههههه
وينك يابو رمسه ما اشوفك
Follow along with the video below to see how to install our site as a web app on your home screen.
ملاحظة: This feature may not be available in some browsers.
الله ينصرهم ويوفقهمإلى اليمن مشاهدة المرفق 827970
خرج تقرير قبل فترة ان العقد ٩٠٠ مدرعة و هذا الرقم يمكن من تشكيل ثلاثة الوية مشاة الية للتدخل السريع... بالقياس للواء الامريكي السترايكر حسب AI:د 3000 مدرعات رقم لحد ما واقعي او اكثر ؟
غير صحيح هذا الرقم
الرقم الحقيقي 742 مدرعه
وتوزيع 742 مدرعة كالاتى :
نحو 385 مدرعة “LAV-700” (ربما بمواصفات APC
119 مدرعة “LAV-700 AT”
119 مدرعة “LAV-700 FSV” (Fire Support Vehicle)
119 مدرعة “LAV-700 IFV” (Infantry Fighting Vehicle)
خرج تقرير قبل فترة ان العقد ٩٠٠ مدرعة و هذا الرقم يمكن من تشكيل ثلاثة الوية مشاة الية للتدخل السريع... بالقياس للواء الامريكي السترايكر حسب AI:
يحتوي لواء "سترايكر" القتالي في الجيش الأمريكي على أكثر من 300 مركبة مدرعة من طراز سترايكر.
يتكون اللواء من مجموعة متنوعة من المركبات المدرعة (وليس فقط ناقلات جنود)، والتي تشمل أنواعًا مختلفة لدعم المهام القتالية المتنوعة:
ناقلات جنود مشاة (ICV)
مركبات قيادة (CV)
مركبات دعم ناري (FSV)
ناقلات هاون (MC)
مركبات هندسة قتالية (ESV)
مركبات إخلاء طبي (MEV)
مركبات مضادة للدبابات (ATGM)
يبلغ قوام لواء سترايكر حوالي 4400 جندي، ويتميز بالقدرة على الانتشار السريع.
انا مش فاكر ردك بالأساس
ممكن تعيده ...واتى انا بالمصادر الكندية لنشوف صحه كلامك
ماني فاضيلك
راجعنا بكرة والطاقكسي على حسابيماني فاضيلك
غير صحيح هذا الرقم
الرقم الحقيقي 742 مدرعه
وتوزيع 742 مدرعة كالاتى :
نحو 385 مدرعة “LAV-700” (ربما بمواصفات APC
119 مدرعة “LAV-700 AT”
119 مدرعة “LAV-700 FSV” (Fire Support Vehicle)
119 مدرعة “LAV-700 IFV” (Infantry Fighting Vehicle)
تاريخيا اللواء الرابع مدرع ثقيل مجنزرات...ال LAV-700 تتبع سلاح المدرعات
تم تشكيل منها كتيبة المدرعات الرابعه بالمنطقة الجنوبية
وكتيبتين أخرى باللواء الرابع المدرع
ماني فاضيلك
من يريد ان يتحدث بالمصادر بعيد عن هبد 3000 مدرعه
chatgpt.com[/URL]
جايب لعبة War Thunder على انها مصدر موثوق
مشاهدة المرفق 828204
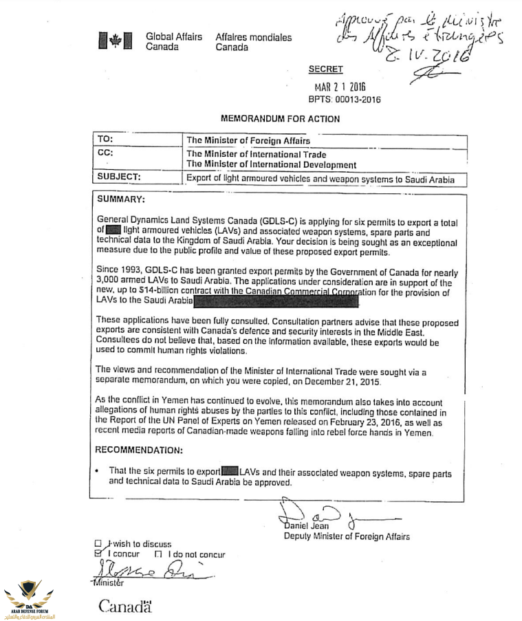
العقد الذي وقعته الحكومة المحافظة السابقة محاطاً بسرية غير عادية منعت مناقشة بعض تفاصيله الأساسية علناً
العقد كان صارماً إلى الحد الذي أدى فيه مجرد ذكره إلى "تعويضات بمليارات الدولارات"
أجزاء كبيرة من الصفقة تظل مخفية عن أعين العامة بما في ذلك العدد الإجمالي للمركبات المباعة وأنواع الأسلحة التي تحملها وعدد المركبات التي تم شحنها بالفعل ونوع الترتيبات المتعلقة بدعم الخدمة التي تم اتخاذها
واعترف وزير الخارجية الكندي فيليب شامبين قائلا "لا يمكننا حقا التحدث عن تفاصيل العقد".
انت عندك زهايمر ولا ايش ؟ الاخ@حميد707 رد عليك في موضوع سابق
والمشكلة انك تأتي مرة اخرى هنا لترديد كلام "كاذب تم دحضه"
حتى النسخ التي ذكرتها أنت في مشاركتك غير كاملة , مجرد اجتهاد منك حسب مصادر غير موثوقة
حيث ظهرت نسخ اخرى مثل الهندسة لأول مرة قبل عدة ايام , وكذلك CP , وكذلك الاخلاء الطبي
والله اعلم عن مايحتويه العقد من انواع اخرى!!!!
لذلك بلاش تكرار الهبد الله يعافيك.
John Cockerill Defense is also exhibiting the105mm version of the Cockerill® 3000 Series, which has been delivered inseveral hundred units to the Middle East
تاريخيا اللواء الرابع مدرع ثقيل مجنزرات...
ادخال كتائب اللاف موقت حتى يعاد تسليحه؟... او بداية لتغيير كامل للواء يشمل التخلص من الدبابات؟
Project Ploughshares مصدر معترف به ويتم الاستشهاد فيه داخل البرلمان الكندي ووسائل الإعلام الكندية الكبرى، مش مصدر تافهة بتحاول تضعفه
المصدر الذي ينقل عنه مجرّد مقال تحليلي يعتمد على بيانات SIPRI، وهي بيانات لا تعد موثوقة بشكل كامل.
وعلى كل حال، ذكرت شركة John Cockerill في تصريح سابق اثناء مشاركتهم في معرض DSEI 2021 أنها قامت بتصدير عدة مئات من برج Cockerill 3105 لعميل في الشرق الأوسط، ولا توجد أي دولة في المنطقة تشغّل هذا البرج سوى السعودية فقط.
وبذلك تسقط الشائعة التي تزعم أن المملكة تشغّل 119 برجًا فقط من هذا النوع.
![]()
ولو افترضنا أن العدد الإجمالي هو ما ذُكر في مصادره، فماذا يكون تحليله حول نسخ CP وMEV وESV؟!
فهي لم تُذكر ضمن الـ742 مدرعة!!
وعلى كل حال، ذكرت شركة John Cockerill في تصريح سابق اثناء مشاركتهم في معرض DSEI 2021 أنها قامت بتصدير عدة مئات من برج Cockerill 3105 لعميل في الشرق الأوسط، ولا توجد أي دولة في المنطقة تشغّل هذا البرج سوى السعودية فقط.
وبذلك تسقط الشائعة التي تزعم أن المملكة تشغّل 119 برجًا فقط من هذا النوع.
ولو افترضنا أن العدد الإجمالي هو ما ذُكر في مصادره، فماذا يكون تحليله حول نسخ CP وMEV وESV؟!
فهي لم تُذكر ضمن الـ742 مدرعة!!