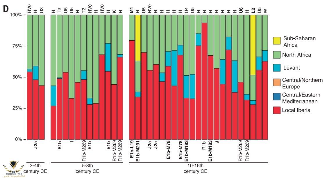
للأسف الدراسات الجينية أتبثت صحة كلامهم لم يجدو اي جين مشرقي لدى ساكنة الأندلس وجدوا عندهم الجين الفرنسي يليه الإيطالي و ثم الجين الامازيغي المغربي حل ثالثا و سبب تقلصه راجع لمحاكم التفتيش
مش عارف بصراحة عن الدراسات
لو في رابط ممكن تبعتهولي
بس الواقع الفتح كان عربي امازيغي و في عائلات عربية كبيرة مشهورة زي بني عباد و بني الأفطس و بني الأحمر ... الخ
الغرب مثلاً اطلقوا اسم Saracens على كل المسلمين
في حين ان الروم كانوا بيستخدموه زمان على نطاق ضيق اكتر
هما مقدروش يفرقوا بين المصريين و عرب الجزيرة و الشوام فبيطلقوا لفظ عام

